
镀铜添加剂
经实验证实,Hopax电镀添加剂在高酸度及高电流的环境中仍展现出优异的导电性和稳定性,可有效吸收金属离子并提高沉积速率。
Hopax电镀添加剂为全球知名电镀液制造商所采用,为铜电镀、镍电镀和贵金属电镀制程之光亮剂。
- ◎ 3-巯基丙烷磺酸钠(MPS)
- ◎ N, N-二甲基二硫代羰基丙烷磺酸钠(DPS)
- ◎ 聚二硫二丙烷磺酸钠 (SPS-95)
- ◎ 聚二硫二丙烷磺酸钠 (SPS-99)
- ◎ 异硫脲丙磺酸内盐(UPS)

3-巯基丙烷磺酸钠(MPS)
英文:3-Mercapto-1-propane sulfonic acid sodium salt
CAS No:17636-10-1
分子式:C3H7O3S2Na
分子量:178.2
CAS No:17636-10-1
分子式:C3H7O3S2Na
分子量:178.2

N, N-二甲基二硫代羰基丙烷磺酸钠(DPS)
英文:N,N-Dimethyl-dithiocarbamyl propyl sulfonic acid sodium salt
CAS No:18880-36-9
分子式:C6H12NNaO3S3
分子量:265.4
CAS No:18880-36-9
分子式:C6H12NNaO3S3
分子量:265.4

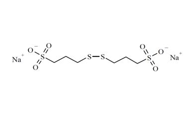
聚二硫二丙烷磺酸钠 (SPS-95)
英文:3,3'-Dithiobis-1-propanesulfonic acid, disodium salt
CAS No:27206-35-5
分子式:C6H12O6S4Na2
分子量:354.4
CAS No:27206-35-5
分子式:C6H12O6S4Na2
分子量:354.4

聚二硫二丙烷磺酸钠 (SPS-99)
英文:3,3'-Dithiobis-1-propanesulfonic acid, disodium salt
CAS No:27206-35-5
分子式:C6H12O6S4Na2
分子量:354.4
CAS No:27206-35-5
分子式:C6H12O6S4Na2
分子量:354.4






